logo nano spa 1

demo resto

  • Cabecera 1
    nanoscience and nanotechnology: small is different

 

Subscribe to our press releases  

 

Unquenching the orbital moment of Co atoms by metal-organic coordination

30.09.2022

jacs ecija oliveira 2022

On-surface synthesis of a Co-HOTP metal-organic network. Credit: Journal of the American Chemical Society.

  • IMDEA Nanociencia and ICMol researchers in collaboration with ALBA Synchrotron achieved the stabilization of a high orbital magnetic moment in Co atoms directing a metal-organic network on a metallic surface.
  • This strategy could lead to the development of low dimensional metal-organic materials with high magnetic anisotropy for prospective applications in spintronic devices. 

Madrid, September 30th, 2022. Although free transition metal atoms have high orbital magnetic moments, when they are placed in solids the crystalline environment leads to its partial or total quenching. A quenched orbital moment is associated with a low magnetic anisotropy which reduces the magnetic stability of the nanomaterial. A possible route to unquench the orbital moment is the reduction of the coordination number in low dimensional systems. Researchers led by Dr. David Écija (IMDEA Nanociencia) and Dr. Carlos Martí-Gastaldo (ICMol) have engineered a Co-organic network prepared by on-surface synthesis on a Au(111) substrate, which displays an unprecedented large orbital magnetic moment.

Metal-organic frameworks are systems with high versatility which makes them ideal candidates to engineer the fundamental properties of the materials. When these systems are prepared on surfaces novel quantum properties can emerge from their low dimensionality: one-atom thickness. In the case of 2D transition metal frameworks, the reduction of the coordination number on a surface can lead to the unquenching of the orbital moment and a consequent increase in the magnetic anisotropy. A high magnetic anisotropy is essential for the development of magnetic applications as data storage and spintronic devices. Moreover, in the case of networks prepared with π-d conjugated molecules, there is an increase in the coupling between the metallic atoms that can lead to antiferromagnetic ground-states. Antiferromagnetic materials present some advantages for practical applications when compared to ferromagnetic materials as improved robustness and faster dynamics.

In a recent study published in the Journal of the American Chemical Society the researchers report a 2D metal-organic network consisting of 2,3,6,7,10,11-hexahydroxytriphenylene (H6HOTP) molecules coordinated with cobalt atoms on a Au(111) surface upon activation of the hydroxyl functional groups. Scanning tunneling microscopy (STM) experiments reveal an unprecedent nanoarchitecture, distinct from the one observed on wet chemistry.

jacs ecija oliveira 2022(2)

Figure 1. (Left) STM image of the Co-HOTP network on Au(111). (Right) Theoretical ground state spin configuration.

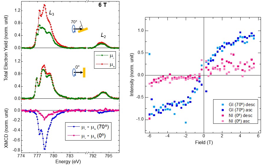
Theoretical calculations reveal that the system has an antiferromagnetic ground-state. X-ray absorption spectroscopy (XAS) and X-ray circular magnetic dichroism (XMCD) experiments performed at ALBA synchrotron demonstrate that the Co-HOTP network has a large unquenched orbital moment and a high magnetic anisotropy. Additionally, the magnetization curves are compatible with antiferromagnetism, as predicted by the theoretical calculations. These results open new avenues for the development of antiferromagnetic low dimensional systems with potential application in spintronic and memory devices.

jacs ecija oliveira 2022(3)

Figure 2. (Left) XAS and XMCD taken at Co L2,3-edges at normal (0°) and grazing (70°) incidences. (Right) Magnetization curves measured at normal and grazing incidences.

This work is a collaboration between researchers at IMDEA Nanociencia, ICMol, ALBA Synchrotron (BOREAS beamline), ICMM-CSIC, and the Freie Universität Berlin, led by Dr. David Écija and Dr. Carlos Martí-Gastaldo, and has been cofunded by the ERC-AdG ELECNANO project to Dr. Écija, the "4f-Mag" project (MSCA-IF) to Dr. Parreiras and the “Severo Ochoa” and “Maria de Maeztu” Centers of Excellence award to IMDEA Nanociencia and ICMol.


Reference:

Cristina Martín-Fuentes, Sofia O. Parreiras, José I. Urgel, Víctor Rubio-Giménez, Beatriz Muñiz Cano, Daniel Moreno, Koen Lauwaet, Manuel Valvidares, Miguel A. Valbuena, Pierluigi Gargiani, Wolfgang Kuch, Julio Camarero, José M. Gallego, Rodolfo Miranda, José I. Martínez, Carlos Martí-Gastaldo, and David Écija. On-Surface Design of a 2D Cobalt-Organic Network Preserving Large Orbital Magnetic Moment. J. Am. Chem. Soc. 2022, 144(35), 16034–16041. 

DOI: 10.1021/jacs.2c05894

 

Contact

Prof. David Écija
david.ecija [at]imdea.org
https://www.nanociencia.imdea.org/home-en/people/item/david-ecija
Twitter: @davidecijalab

Dr. Sofia de Oliveira Parreiras
sofia.oliveira [at]imdea.org

Oficina de Comunicación de IMDEA Nanociencia
divulgacion.nanociencia [at]imdea.org
Twitter: @imdea_nano
Facebook: @imdeananociencia
Instagram: @imdeananociencia


Source: IMDEA Nanociencia